
Während der Produktionsphase müssen die unbelastete Länge und die Charakteristik einer Druckfeder vor den nächsten Montageschritten bekannt sein.
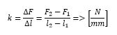
Die Konstante bzw. Steifigkeit einer Druckfeder wird durch das Verhältnis der Kraftzunahme und des zurückgelegten Weges definiert.

Wir erstellen eine Fügesequenz mit den folgenden Funktionen:
Var1: unbelastete Länge
Var2: Position bei der ersten Messung
Var3: Kraft bei der ersten Messung
Var4: Position bei der zweiten Messung
Var5: Kraft bei der zweiten Messung
Var6: Steifigkeit
Var7: Offset der Werkstückaufnahme
Produktmanager
Zuständigkeits-Bereich:
SERVOPRESSEN & HANDARBEITSPLÄTZE MIT SERVOPRESSE
| Schritt | Funktion | Parameter | Kommentar |
|---|---|---|---|
| 01 | Var. zuordnen | Var7 = -41.896 mm | Offset Werkstückaufnahme |
| 02 | Positionieren | 5.000 mm | Vorposition |
| 03 | Tarieren | Kraft | Kraftsignal nullen |
| 04 | Positionieren Trigger Messwert 1 Messwert 2 | 60.000 mm F > 1 N, Var1 = Position F @ S = 25.000 mm F @ S = 55.000 mm | Druckfelder belasten Unbelastete Länge aufnehmen Erste Kraft/Weg-Messung Zweite Kraft/Weg-Messung |
| 05 | Positionieren | 0.000 mm | Rückhub |
| 06 | Kommentar | Berechnung mit Variablen | |
| 07 | Var. zuordnen | Var2 = Messwert 1, X-Wert | |
| 08 | Var. zuordnen | Var3 = Messwert 1, Y-Wert | |
| 09 | Var. zuordnen | Var4 = Messwert 2, X-Wert | |
| 10 | Var. zuordnen | Var5 = Messwert 2, Y-Wert | |
| 11 | Var. zuordnen | Var4 = Var4 - Var2 | |
| 12 | Var. zuordnen | Var5 = Var5 - Var3 | |
| 13 | Var. zuordnen | Var6 = Var5 | |
| 14 | Var. zuordnen | Var6 = Var5 / Var4 | |
| 15 | Var. zuordnen | Var1 = Var1 + Var7 | |
| 16 | Kommentar | Felder auswerten (i.O./n.i.O.) | |
| 17 | Auswertung 3 | 49.700 > Var1 > 50.300 | Kriterium i.O./n.i.O. |
| 18 | Auswertung 4 | 3.000 > Var6 > 7.000 | Kriterium i.O./n.i.O. |
| 19 | Programmende |